Figure 6

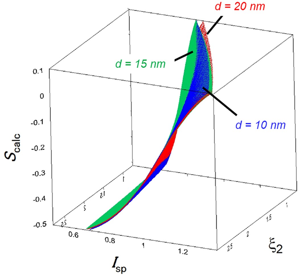
Variation of the S calc − I sp − ξ 2 surfaces for d = 10, 15, and 20 nm, calculated with n sub = 1.524 (for a glass substrate).

Variation of the S calc − I sp − ξ 2 surfaces for d = 10, 15, and 20 nm, calculated with n sub = 1.524 (for a glass substrate).