Figure 1
From: The diagnostic and prognostic value of interleukin-6 in patients with soft tissue sarcomas

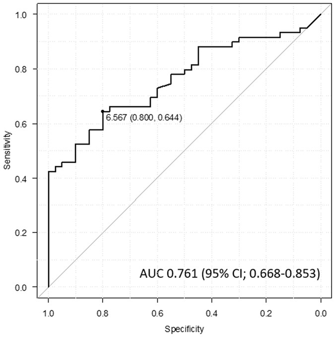
ROC curve shows the appropriate threshold of the IL-6 level for identifying soft tissue tumor patients at risk of developing STS.
From: The diagnostic and prognostic value of interleukin-6 in patients with soft tissue sarcomas

ROC curve shows the appropriate threshold of the IL-6 level for identifying soft tissue tumor patients at risk of developing STS.