Figure 2
From: Giant pandas can discriminate the emotions of human facial pictures

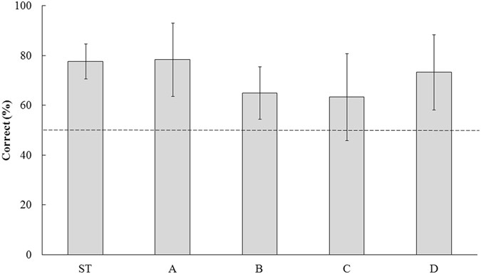
Ratios of correct responses in the standard trials (ST) and the four types of probe trials in the second stage. Proportion of conditioned correct choices for the 5 subjects in the second stage in standard trials (150 trials per subject) and in each type of probe trial (10 trials per subject): (A) the same horizontal portion of the face as shown in the standard trials but with novel faces; (B): the other horizontal half of the same faces used in the standard trials; (C): the other horizontal half of the novel faces; (D): the left half (vertical) of the same faces used in the standard trials.