Figure 1
From: Theoretical Studies of Intracellular Concentration of Micro-organisms’ Metabolites

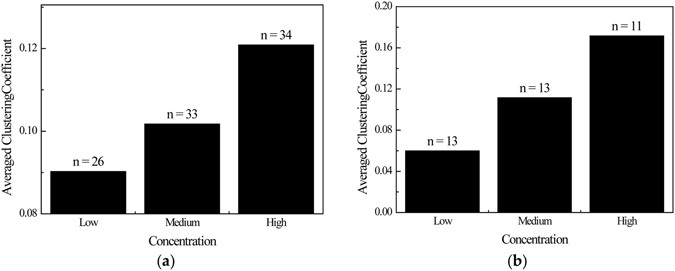
Correlation between metabolite concentration and Clustering-Coefficient in (a) E. coli; and (b) S. cerevisiae.
From: Theoretical Studies of Intracellular Concentration of Micro-organisms’ Metabolites

Correlation between metabolite concentration and Clustering-Coefficient in (a) E. coli; and (b) S. cerevisiae.