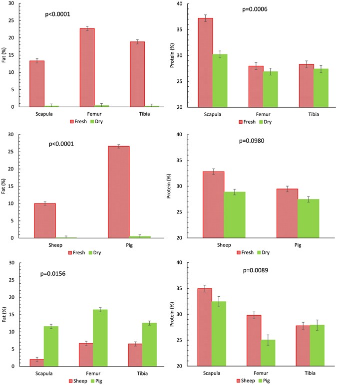
Figure 1
From: The importance of the nutritive value of old bones in the diet of Bearded vultures Gypaetus barbatus

Fat and protein content for the interactions between anatomical part (scapula, femur and tibia), species (pig vs sheep), and age of the bones (fresh vs dry [>3months]). Bars represent ±s.e. P-values denote the significance of the interaction in the model.