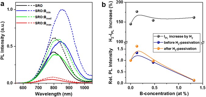
Figure 3

Photoluminescence of B-incorporating Si NCs. (a) PL spectra of NC samples before (solid lines) and after (dashed lines) H2-passivation with nominal B-concentrations of: [Bmin] = 0.13 at%, [Bmed] = 0.47 at%, and [Bmax] = 1.32 at%. While all samples have similar peak positions, the highest B-concentration leads to a strong luminescence quenching by one order of magnitude. (b) The PL peak analysis demonstrates the small PL-intensity gain by 0.13 at% B, irrespective of H2-passivation and similar intensities of the 0.47 at% samples compared to the undoped references. The H2-passivation increases the PL-intensity on average by ~60%. All lines (splines) are just a guide to the eye.