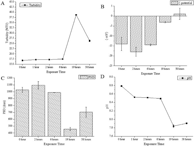
Figure 3

EPS transformation to TEP and flocculation measured as: (A) photo-flocculation of EPS upon light exposure, measured as turbidity (NTU); (B) ζ−potential (−mV) of light exposure; (C) particle size distribution (dnm) of EPS treated in sunlight; (D) changes in pH of EPS in light conditions after exposure in sunlight. Only daylight exposure hours (12 hours per day) were counted, to the exclusion of night hours.