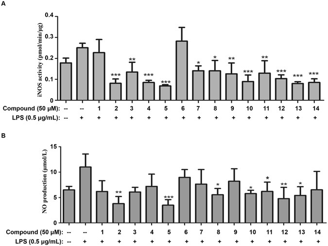
Figure 6

Effects of isolated compounds on iNOS enzyme activities and NO production in LPS-stimulated BV2 microglia cells. (A) Assays of iNOS enzyme activities. BV2 cells were pre-treated with all compounds (50 μM) for 1 h, and stimulated with 0.5 μg/mL LPS for 24 h. The activities of iNOS enzyme were determined by using nitric oxide synthase activity assay kit (Abcam). The results were presented as mean ± SD (n = 3) and analyzed by one-way ANOVA with Dunnett’s test. *p < 0.05; **p < 0.01; ***p < 0.001. (Drug treatment plus LPS vs LPS). (B) Determination of NO levels in culture medium. After the drug treatment as previously described, the culture medium was collected for measurement of NO production by using Griess reagent kit for nitrite determination. Data were expressed as mean ± SD (n = 3) and analyzed by one-way ANOVA with Dunnett’s test. *p < 0.05; **p < 0.01; ***p < 0.001. (Drug plus LPS vs LPS).