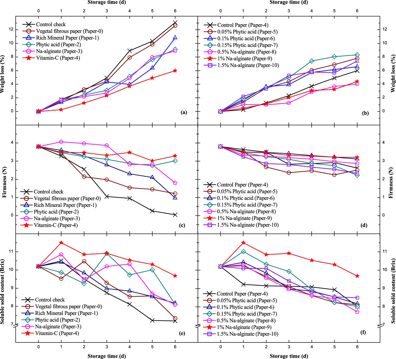
Figure 1

Weight loss (%), firmness (N) and soluble solid content (Brix) with standard deviation shown in error bars. (a), (c) and (e) Single treatments of vegetal fibrous paper. (b), (d) and (f) Composite treatments of vitamin C (0.4%) paper. Detailed information on the papers is provided in Table 1.