Figure 1

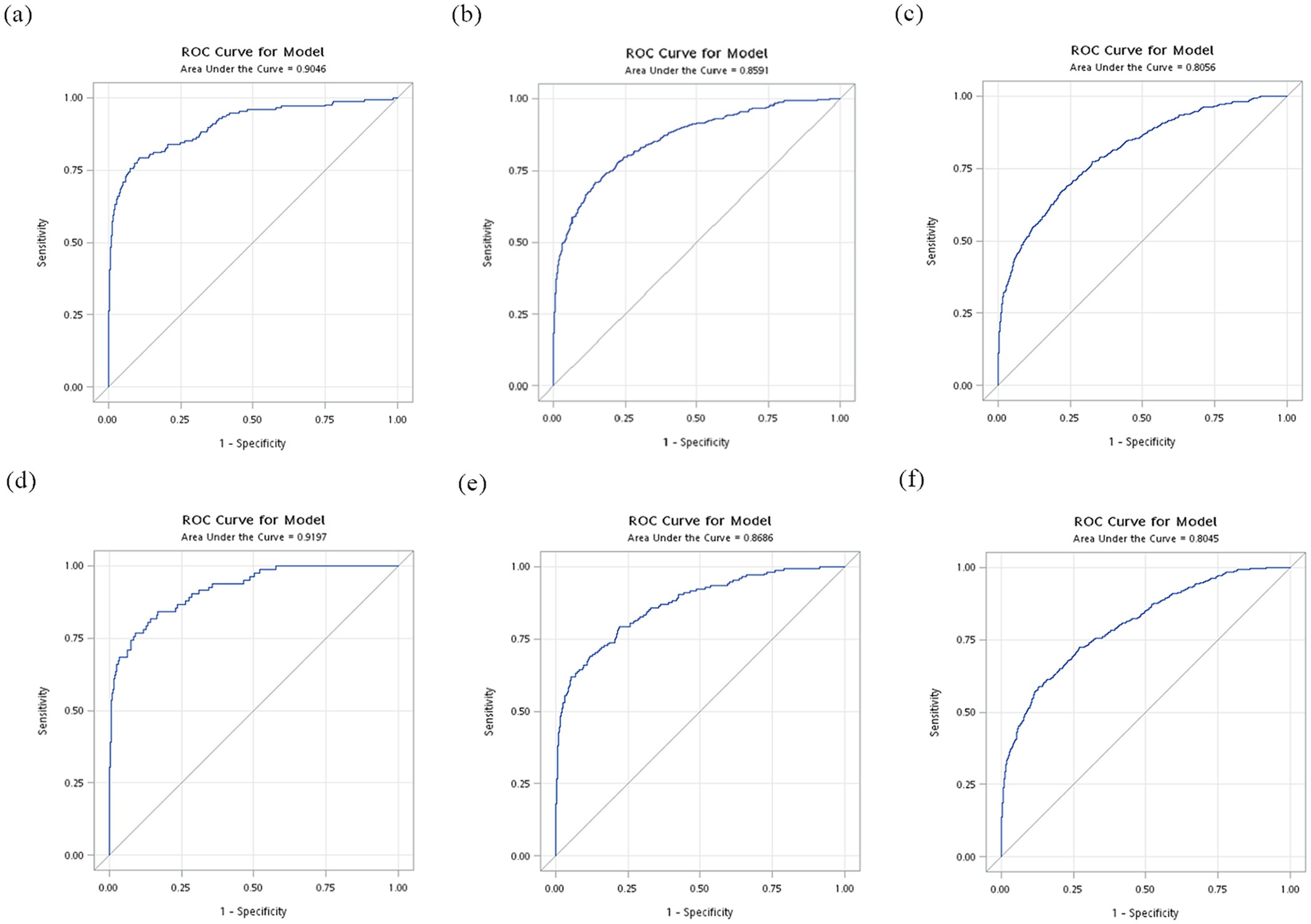
Receiver-operating characteristic curve (ROC) for (a) 3-year (b) 5-year (c) 8-year ESRD risk in derivation set and for (d) 3-year (e) 5-year (f) 8-year ESRD risk in validation set.

Receiver-operating characteristic curve (ROC) for (a) 3-year (b) 5-year (c) 8-year ESRD risk in derivation set and for (d) 3-year (e) 5-year (f) 8-year ESRD risk in validation set.