Thank you for visiting nature.com. You are using a browser version with limited support for CSS. To obtain
the best experience, we recommend you use a more up to date browser (or turn off compatibility mode in
Internet Explorer). In the meantime, to ensure continued support, we are displaying the site without styles
and JavaScript.
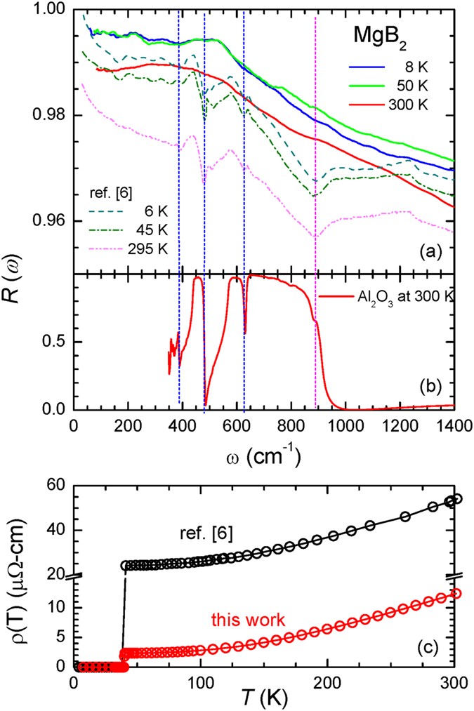
(a) Measured reflectivity spectra of our MgB2 sample, along with previous MgB2 data obtained by Tu et al.6. (b) Measured reflectivity spectrum of the Al2O3 substrate at 300 K. (c) Measured resistivity of our MgB2 sample, along with previous MgB2 data by Tu et al.6.