Figure 3

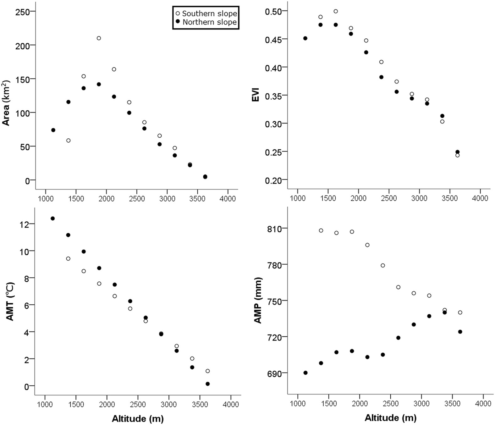
The elevational distribution of the environmental variables and surface area along the southern and northern slopes of Mt. Taibai, China. AMT: annual mean temperature; AMP: annual mean precipitation; EVI: enhanced vegetation index.

The elevational distribution of the environmental variables and surface area along the southern and northern slopes of Mt. Taibai, China. AMT: annual mean temperature; AMP: annual mean precipitation; EVI: enhanced vegetation index.