Figure 7
From: Suppression for an intermediate phase in ZnSb films by NiO-doping

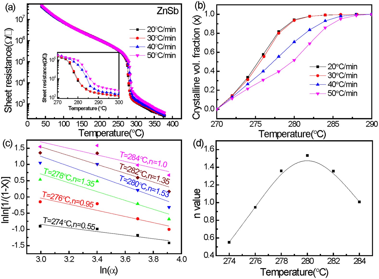
Results taken from ZnSb film using the of (a) R–T curves at different heating rates, (b) curves showing fraction of crystallization at different heating rates, (c) Ozawa’s plot, and (d) temperature-dependent kinetic exponents.