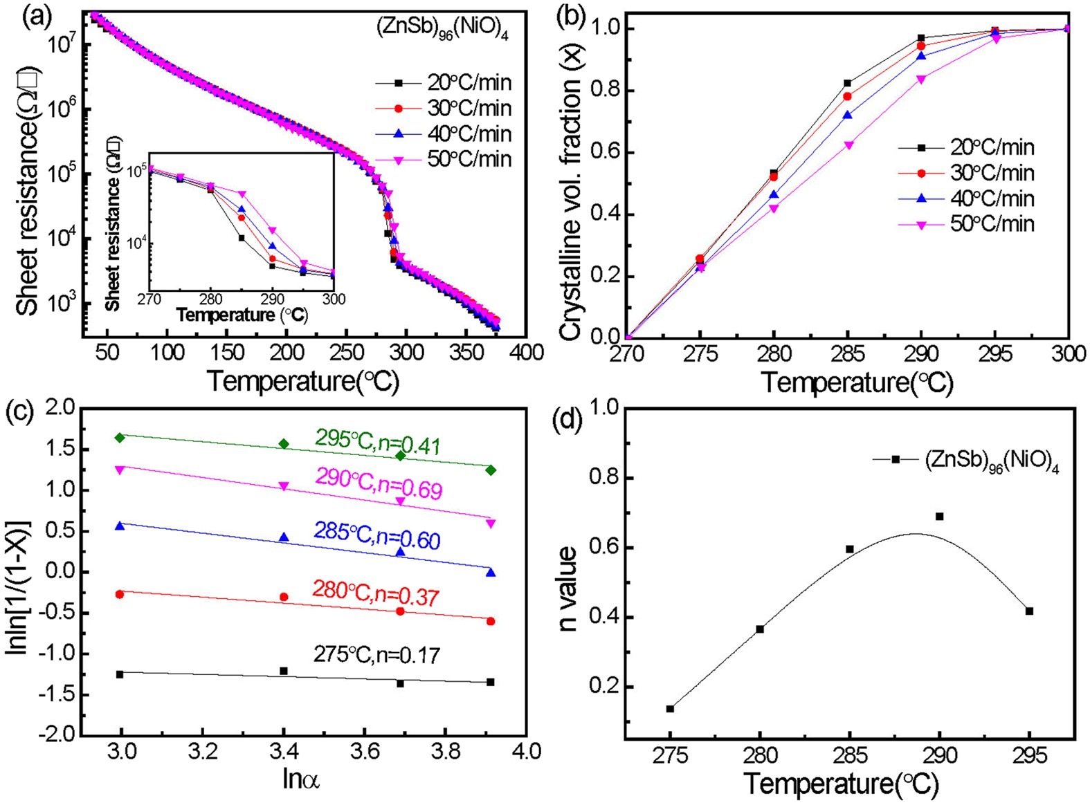
Figure 8
From: Suppression for an intermediate phase in ZnSb films by NiO-doping

Results taken from (ZnSb)96(NiO)4 film using the of (a) R–T curves at different heating rates, (b) curves showing fraction of crystallization at different heating rates, (c) Ozawa’s plot, and (d) temperature-dependent kinetic exponents.