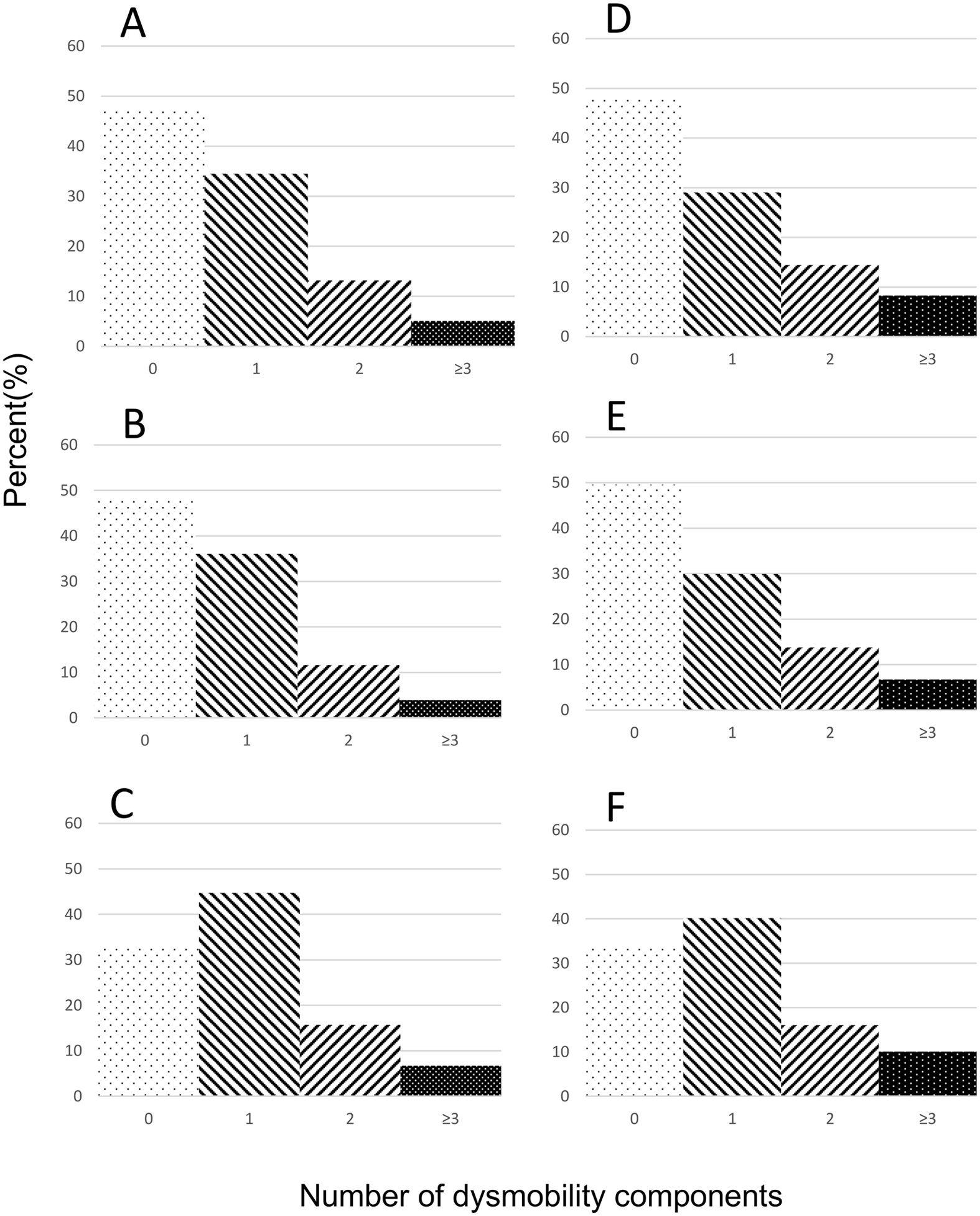
Figure 1

Distribution of dysmobility components by various muscle and fat definitions. Distribution of dysmobility syndrome by (A) original definition; (B) obesity determined by body mass index (C) obesity determined by central obesity (D) BMI adjusted muscle index (E) BMI adjusted muscle index plus obesity determined by BMI (F) BMI adjusted muscle index plus obesity determined by central obesity.