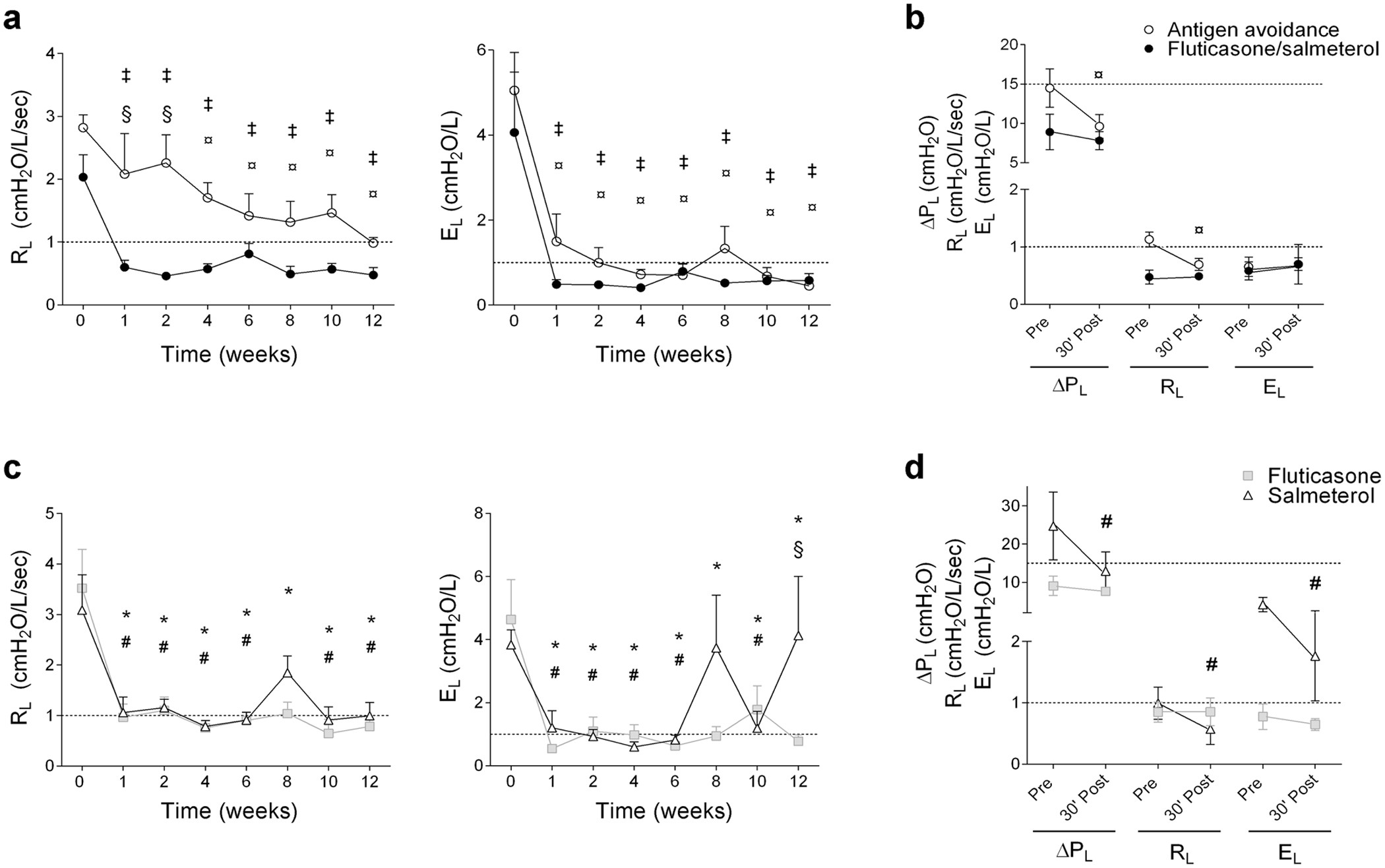
Figure 1
From: Fluticasone/salmeterol reduces remodelling and neutrophilic inflammation in severe equine asthma

Pulmonary function and bronchoreversibility tests performed in study I (a,b) and II (c,d). Bronchodilator response was evaluated before and 30 minutes after the administration of inhaled albuterol 500 μg (b) or intravenous N-butyl-scopolamine 0.03 mg/kg (d) to detect residual airway obstruction. Values are expressed as means ± S.E.M. Dashed lines represent normal threshold in healthy horses. RL: pulmonary resistance; EL: pulmonary elastance; ΔPL: swing in transpulmonary pressure. ‡different from baseline of the same group for fluticasone/salmeterol (p < 0.0001), ¤different from baseline for antigen avoidance (p < 0.05), *different from baseline for fluticasone (p < 0.0001), #different from baseline for salmeterol (p < 0.0001), §difference between groups at the time point indicated (p < 0.05).