Figure 3
From: Genetic basis of mycotoxin susceptibility differences between budding yeast isolates

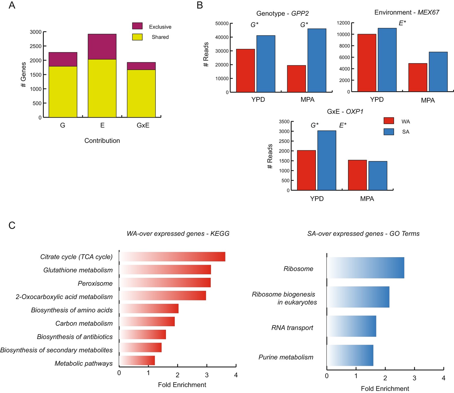
GxE interactions in WA and SA parental strains grown in MPA. (A) Number of genes exhibiting significant Genotype (G), Environment (E) and GxE (Genotype × Environment) components derived from parental expression data. The number of genes with shared (genes with more than one significant component, in yellow) and exclusive (exhibiting a sole significant component, in purple) components are depicted. (B) Examples of WA and SA reads in YPD and MPA for GPP2 (Genotype), MEX67 (Environment) and OXP1(GxE) examples, (G*) and (E*) denote significant genotype and/or environment effects FDR < 0.05. (C) KEGG Pathway enrichment of WA over-expressed genes (left red panel) and SA over-expressed genes (right blue panel).