Figure 4
From: Broadband polarization conversion with anisotropic plasmonic metasurfaces

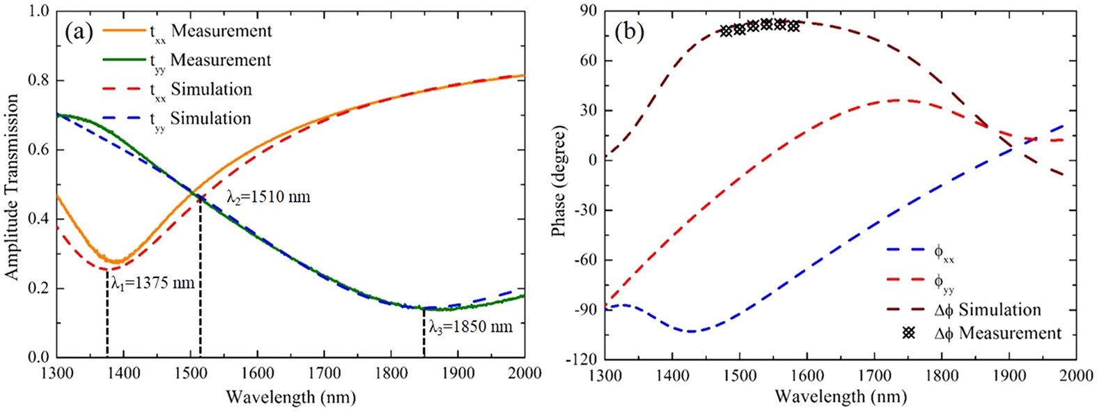
(a) Measured and simulated transmission amplitude spectra of t xx and t yy under two orthogonal linear polarization excitations along x and y directions. (b) Measured and simulated phase retardation between two orthogonal directions, together with simulated phase shifts ϕ xx and ϕ yy.