Figure 7
From: Proteomic analysis of phytase transgenic and non-transgenic maize seeds

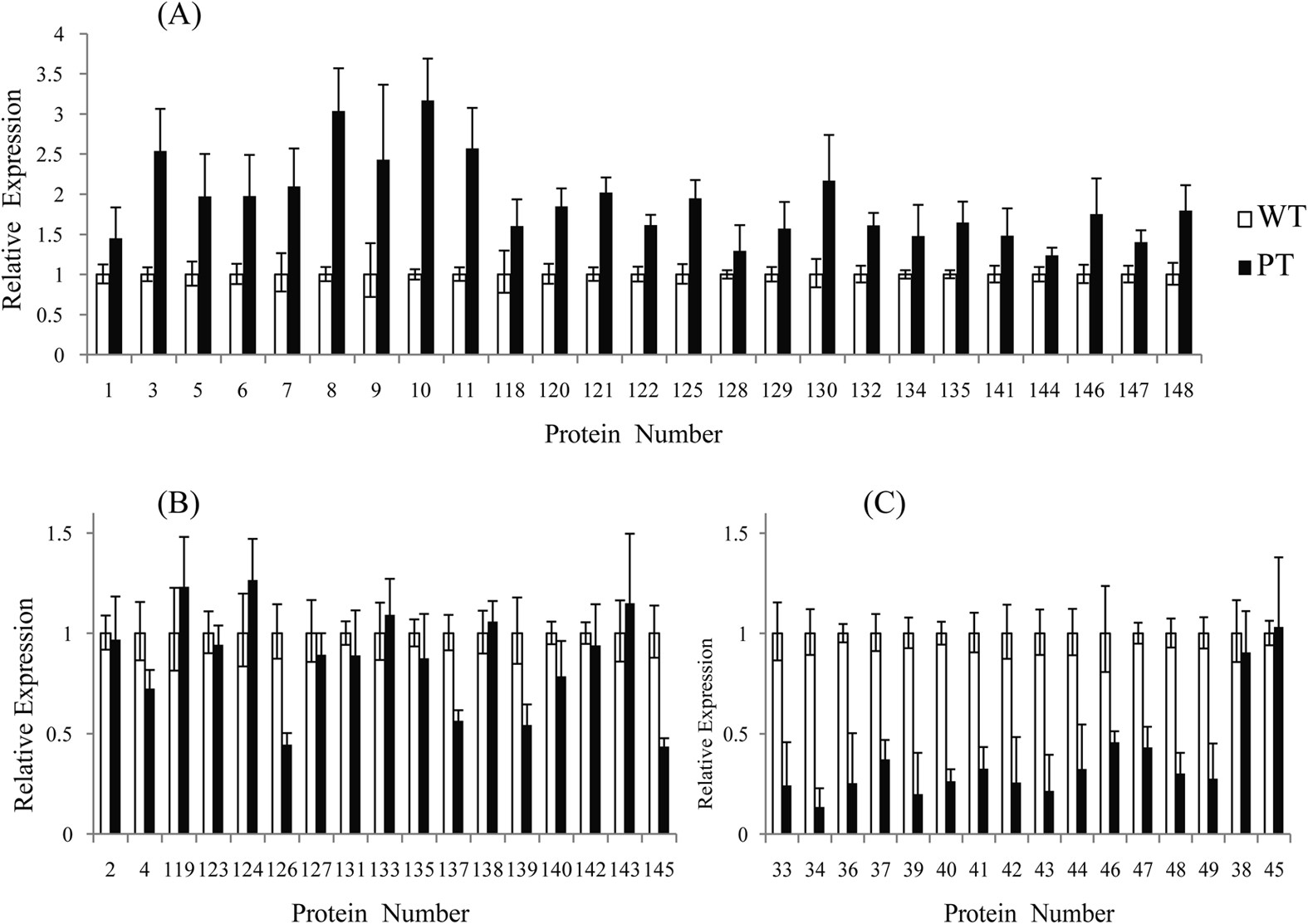
qRT-PCR analysis of the gene expression patterns of the 58 identified DEPs. Among the 42 up-regulated DEPs, the transcript levels of 25 genes displayed the same trend, with increased abundance of the corresponding protein species (A), while the results for 17 genes were inconsistent with observed translation levels (B); among the 16 down-regulated DEPs, 14 genes exhibited similar change trends, and two genes showed no significant difference at the transcript level (C).