Figure 6
From: Large and accessible conductivity of charged domain walls in lithium niobate

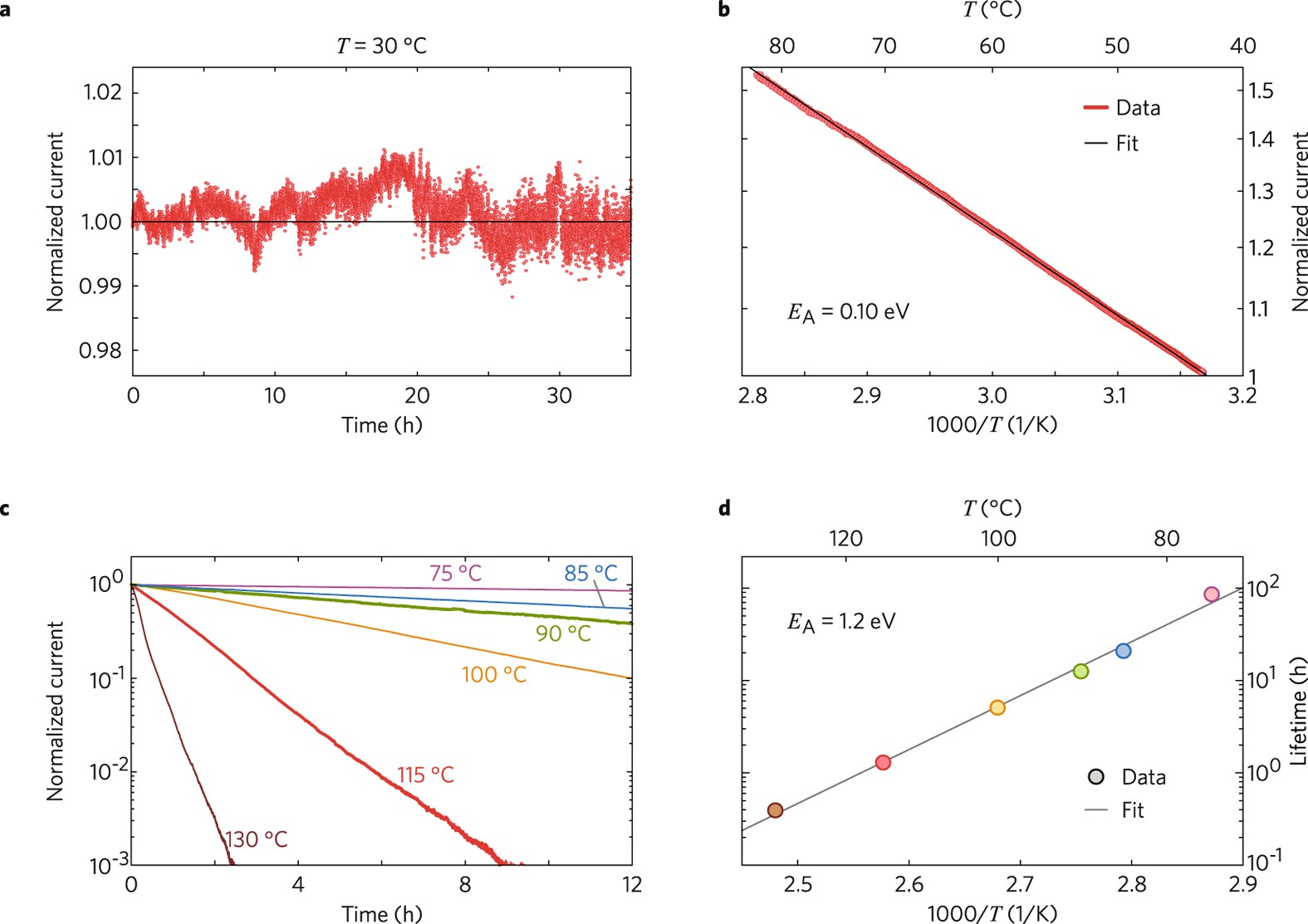
(a) Temporal dependence J(t) at 30 °C. (b) Arrhenius plot of steady-state value of J(T) for the approximate temperature range (40–80) °C. (c) Decay of J for T = 75, 85, 90, 100, 115, and 130 °C. (d) Temperature dependence of conductivity decay in the high-temperature range.