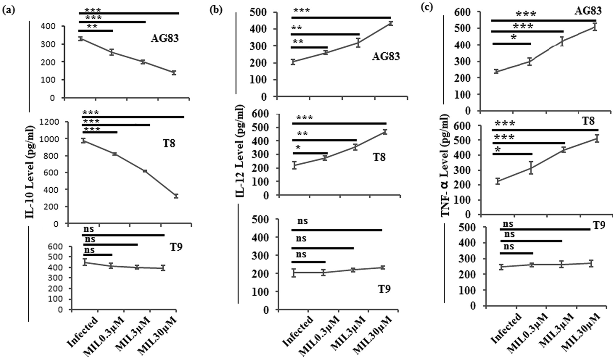
Figure 1

Analysis of cytokines level releases from macrophages (MĆs) infected with the clinical isolates (AG83, T8, T9) following different concentrations of MIL treatment. The culture supernatants were harvested to determine (a) IL-10, (b) IL-12 and (c) TNF-α content by ELISA. Data represent meanā±āSD of three independent experiments. *Pā<ā0.05,**Pā<ā0.001, ***Pā<ā0.0001(Studentās t-test), representing significant differences between clinical isolate infected macrophages and MIL treated infected macrophages in (a) IL-10, (b) IL-12 and (c) TNF-α cytokine production respectively. NS: Non significance.