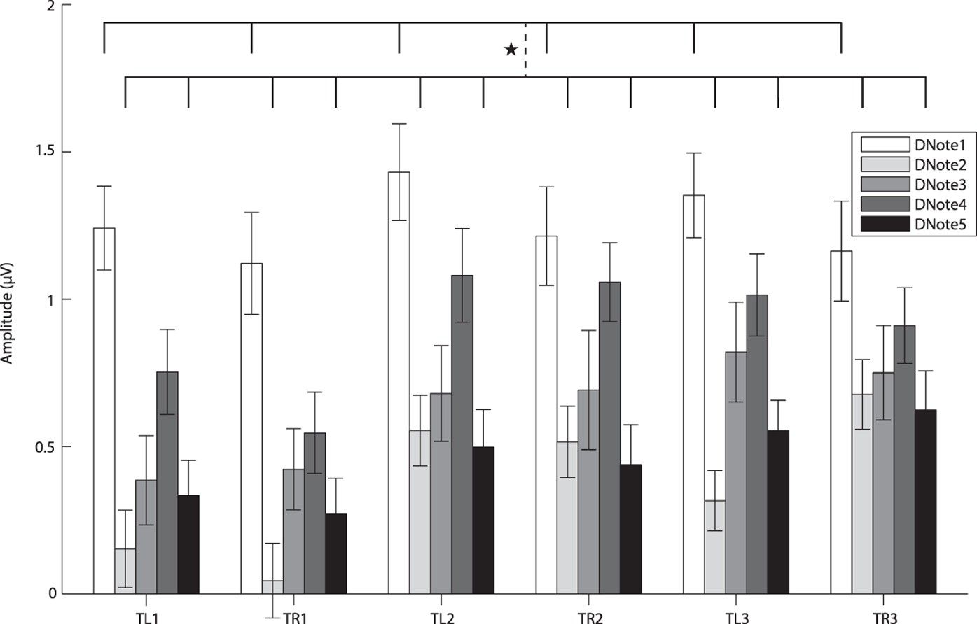
Figure 3
From: The First Call Note Plays a Crucial Role in Frog Vocal Communication

The average amplitudes and standard errors of MMN difference waves for the telencephalon. The vertical dashed line denotes a significant difference between the two groups connected by the line. Abbreviation: DNote1/2/3/4/5 denote the MMN amplitudes of the difference waves for the five notes, respectively; TL1, TR1, TL2, TR2, TL3 and TR3 represent the electrodes on the telencephalon.