Figure 4
From: The First Call Note Plays a Crucial Role in Frog Vocal Communication

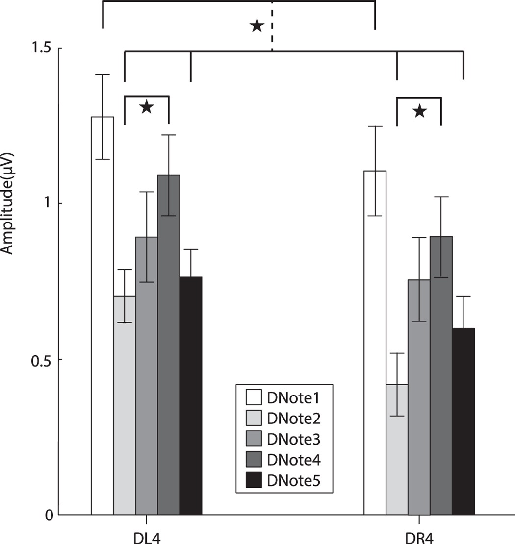
The average amplitudes and standard errors of MMN difference waves for the diencephalon. The vertical dashed line denotes a significant difference between the two groups connected by the line. Abbreviation: DL4 and DR4 represent the electrodes on the diencephalon.