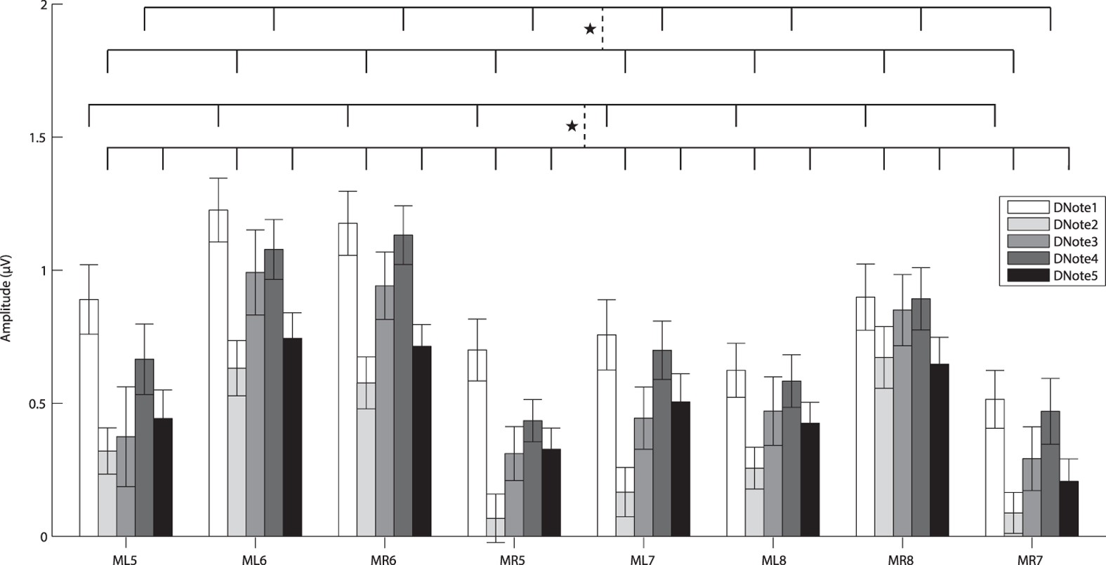
Figure 5
From: The First Call Note Plays a Crucial Role in Frog Vocal Communication

The average amplitudes and standard errors of MMN difference waves for the mesencephalon for each call note. Each vertical dashed line denotes a significant difference between the two groups connected by the line. Abbreviation: ML5, MR5, ML6, MR6, ML7, MR7, ML8 and MR8 represent the electrodes on the mesencephalon.