Figure 5
From: A hybrid resistive pulse-optical detection platform for microfluidic experiments

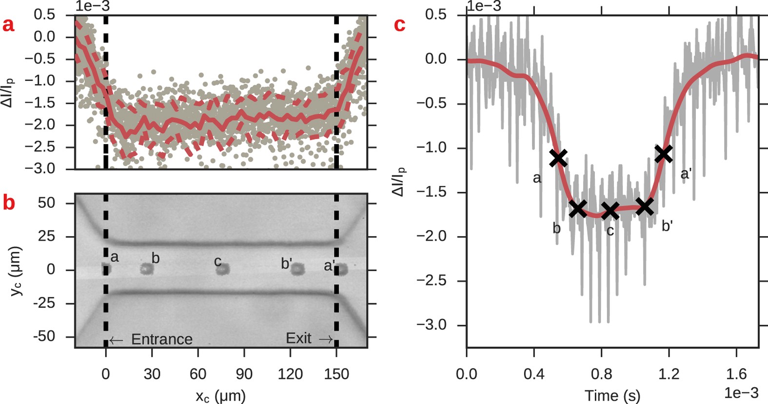
Axial-position x c and relative current amplitude ΔI/I p for 10 μm beads passing through a 150 μm in length, 30 μm in width channel. (a) x c and ΔI/I p for multiple events; gray dots represent actual data points. The red solid line is a moving average of data points within ±1 μm of x c; the width of the window used for the moving average was based on the estimated uncertainty in the measured position of the particle. Red dashed lines are ±1σ from the average ΔI/I p . (b) Composite image of a single particle translocation. Black dashed lines are the channel entrance and exits. Points a and a’ show the two closest frames corresponding to the particle’s entrance and exit. Points b and b’ are the positions at which the RP amplitude attained its maximal value, as determined by the derivative in the (smoothed) RP signal becoming zero. Point c corresponds to the particle occupying the exact center of the channel. (c) Raw (gray) and filtered (red) RP data corresponding to the same particle shown in b. The marked letters correspond to the same instant in time as those marked in b.