Figure 1
From: Ultracompact bottom-up photonic crystal lasers on silicon-on-insulator

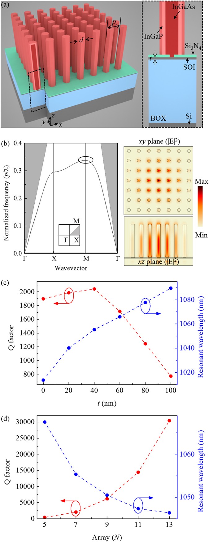
(a) Schematic illustrations of the 7 × 7 nanopillar PhC laser with InGaAs/InGaP core-shell structures on an SOI substrate with an SOI layer thickness of t. d and p indicate the diameter and the pitch of nanopillars, respectively. (b) Corresponding TM mode photonic band structure of the square lattice nanopillar array (left). The grey area denotes the region above the light line in air. |E|2 field profiles of the first band-edge mode (black circle) calculated by the FDTD method are also shown (right). Calculated Q factors (filled red circles) and resonant wavelengths (filled blue circles) as a function of t in 7 × 7 nanopillar arrays (c) and a function of an array size at t = 40 nm (d).