Figure 1

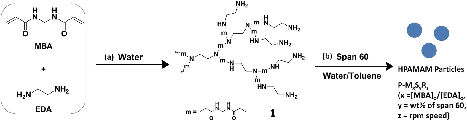
Synthesis of crosslinked hyperbranched polyamidoamine particles (a) in an aqueous solution, and (b) via inverse suspension polymerization.

Synthesis of crosslinked hyperbranched polyamidoamine particles (a) in an aqueous solution, and (b) via inverse suspension polymerization.