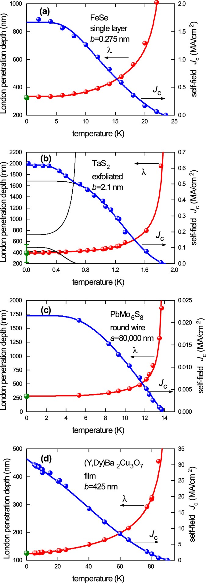
Figure 2

(a) Experimental self-field J c (T) data for single-atomic-layer FeSe (right axis, blue) together with values of λ (left axis, red) derived as described in the text. The solid curves are the BCS-like fits using Eqs 3, 4 and 5. The single green data point at T = 0 is the independently reported ground-state value of λ(0) = 324 nm10. (b) Presents the same data for ultra-thin exfoliated TaS2 with 2b = 4.2 nm; (c) shows the same for a comparatively large round wire of PbMo6S8 with a = 80 μm; and (d) shows the same for (Y, Dy)Ba2Cu3O7 from our own work.