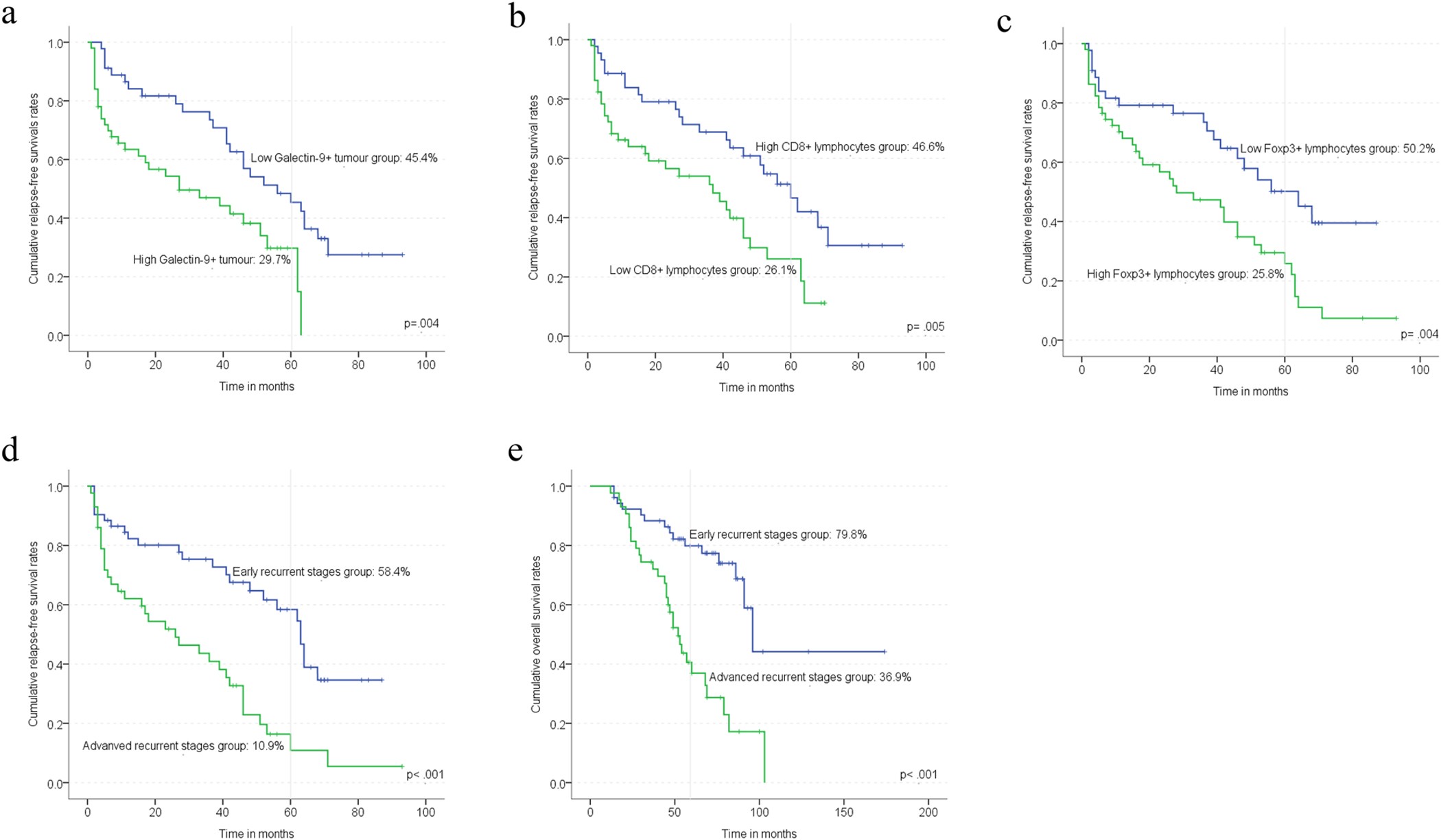
Figure 3

The relapse-free survival and overall survival curves with significant difference (p < 0.05). The median percentages of all immunologic markers were used as the cut-off points for grouping high or low level of expression groups. (a) Recurrent patients with low or high Galectin-9+ tumour, relapse-free survival curves (b) Recurrent patients with low or high CD8+ lymphocytes, relapse-free survival curves. (c) recurrent patients with low or high Foxp3+ lymphocytes, relapse-free survival curves. (d) Patients with early or advanced recurrent stages, relapse-free survival curves. (e) patients with early or advanced recurrent stages, overall survival curves