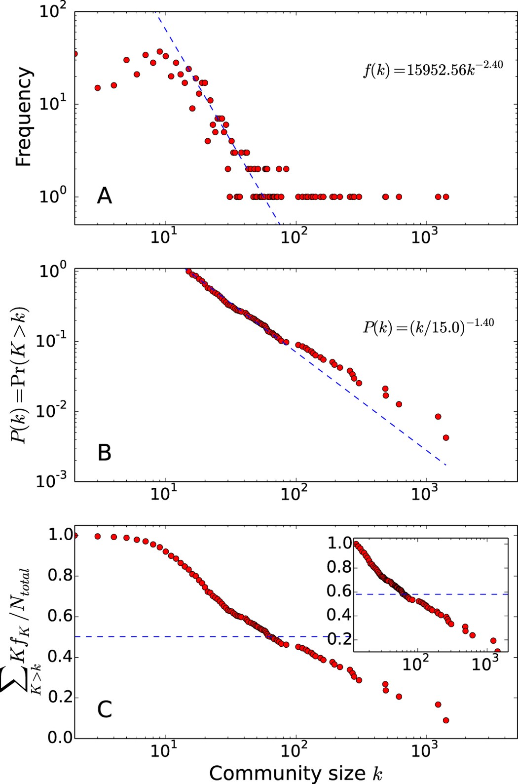
Figure 3

Size distributions of binding site communities. (A) The frequency of binding site communities of size k, (B) the complementary cumulative distribution function (cdf) of community sizes P(k), and (C) the cumulative fraction of binding sites included in binding site communities whose sizes are larger than k are plotted. The cdf function is plotted using the minimum community size of 15, which is determined by the power-law fitting. The inset of the plot (C) shows the cumulative fraction of binding sites included in the communities with more than 14 binding sites. N total is the total number of binding sites in the network. The blue dotted lines in (C) represent the cumulative fractions included in the 30 largest communities. When all communities are considered, 50% of sites are included in the 30 largest communities. If only the communities larger than 14 are considered, 58% of binding sites are included.