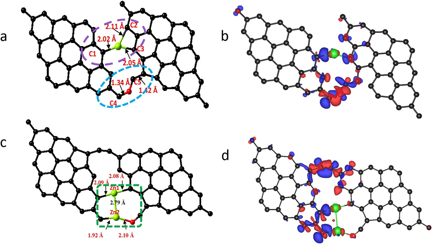
Figure 9

Metal and oxygen atoms incorporated Graphene structure models used for DFT and Bader charge calculations. (a) Graphene sheets interconnected through zinc and oxygen atoms with oxygen atom in the next to nearest neighbor position to Zn atom. The electron transfer region is highlighted with violet and blue circles. (b) Electron density difference plot of structure given in (a), (c) graphene sheets interconnected with two zinc atoms with oxygen atom in the nearest neighbor position. The electron transfer region is highlighted with green rectangle. (d) The electron density difference plot of structure given in (c).