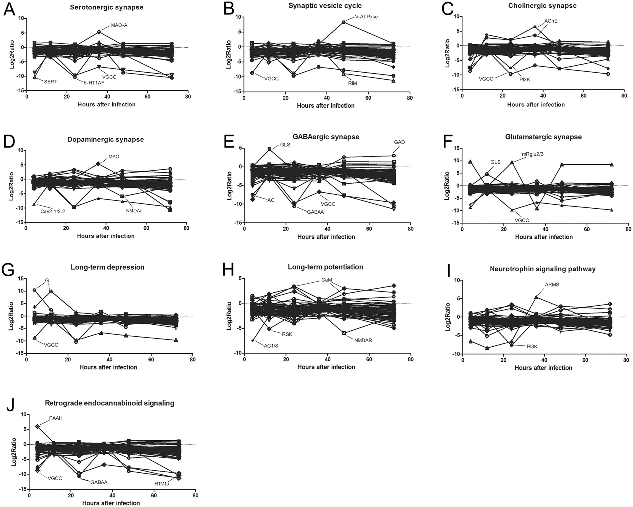
Figure 4

The log2ratios of the locust CNS differentially expressed unigenes as a function of the infection time. DEGs were sub-categorized into those involved in processes related to (A) the serotogenic pathway, (B) the cholinergic pathway, (C), the dopaminergic pathway, (D), the gamma-aminobutyric acid (GABA)-ergic pathway, (E) the glutamatergic pathway, (F) the synaptic vesicle cycle (G) long-term depression, (H) long term potentiation, (I) neurotrophin signaling, and (J) retrograde endocannabinoid signaling. Highly (log2ratio value > 5) DEGs are labeled. As some DEGs participate in multiple sub-categories as defined above, they are included in each respective process/graph in which they participate.