Figure 4
From: Carnot efficiency is reachable in an irreversible process

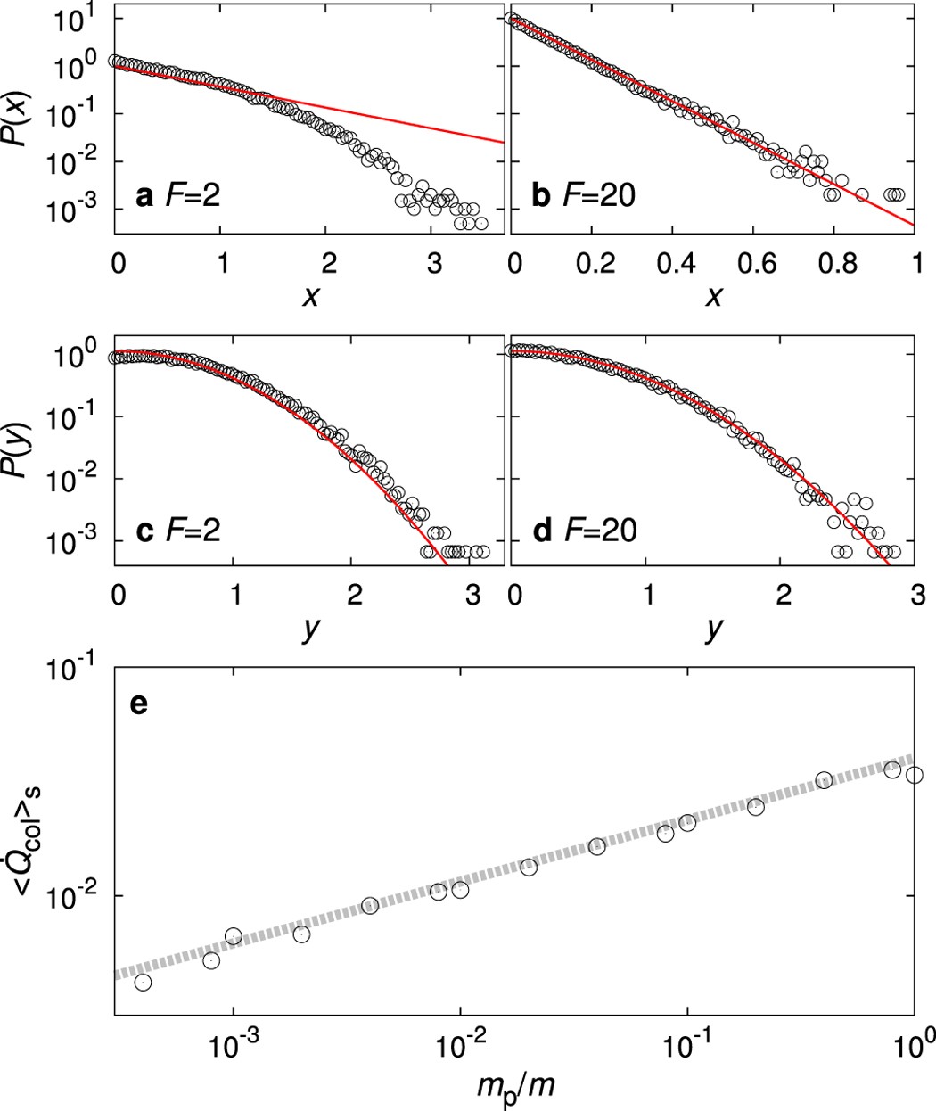
Numerical results. (a) and (b) show the probability distributions of x for F = 2 and F = 20, respectively. (c) and (d) show the probability distributions of y for F = 2 and F = 20, respectively. Solid curves denote equilibrium distributions of equations (7) and (8), respectively. (e) Log-log plot of \({\langle {\dot{Q}}_{{\rm{col}}}\rangle }_{s}\) versus m p/m. The dashed line is a guide line with slope 0.27.