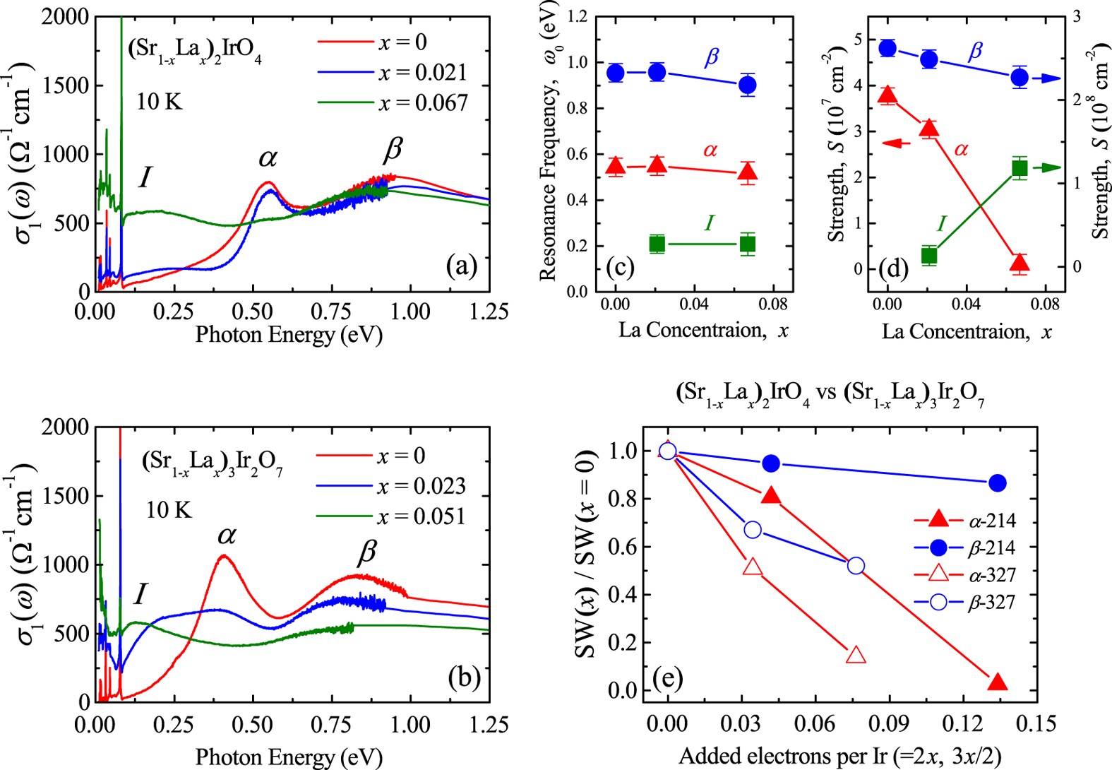
Figure 4

σ 1(ω) of (a) (Sr1−x La x )2IrO4 and (b) (Sr1−x La x )3Ir2O7 at 10 K. (c) Resonant frequencies of the peaks I (solid squares), α (solid triangles), and β (solid circles). (d) Strengths of the peaks I, α, and β. (e) Normalized spectral weights of the peaks α (red triangles) and β (blue circles) SW(x)/SW(x = 0) of (Sr1−x La x )2IrO4 (solid symbols) and (Sr1−x La x )3Ir2O7 (open symbols).