Figure 6
From: Identification of key regions and residues controlling Aβ folding and assembly

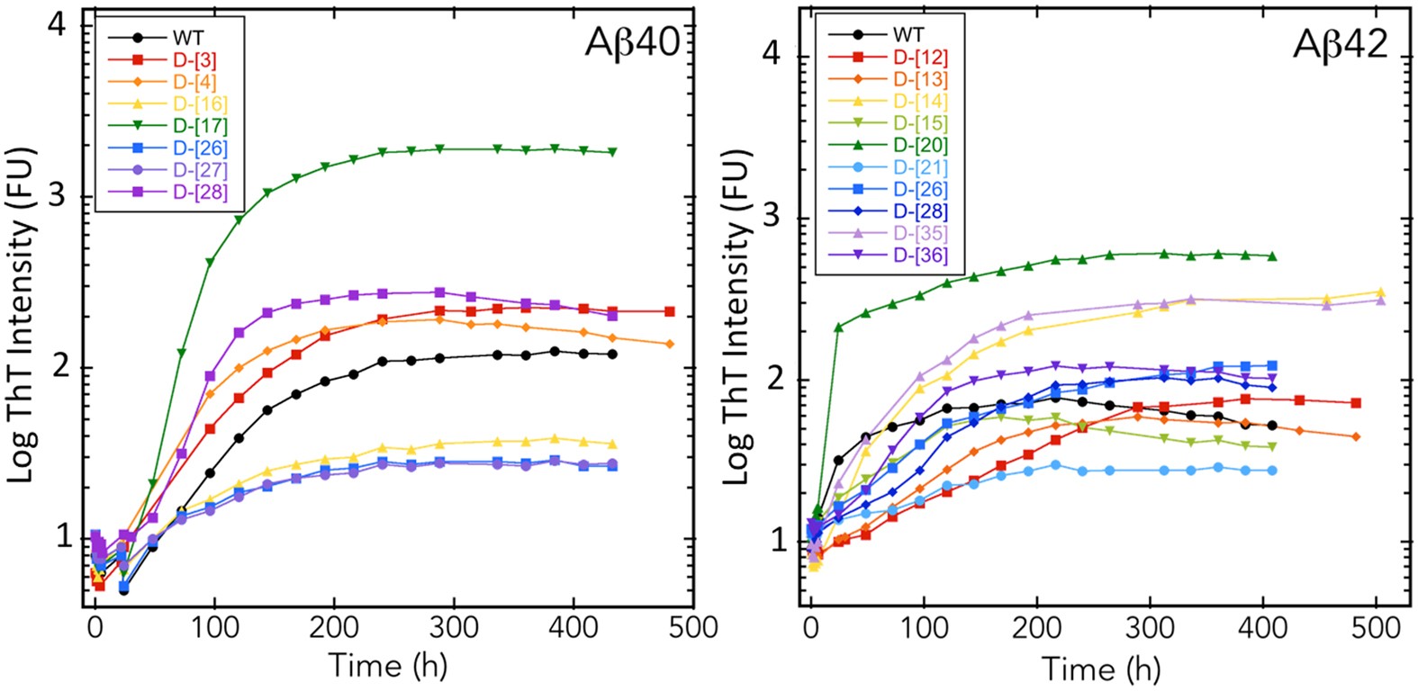
Fibril formation kinetics of single D-amino acid substituted Aβ. Peptides (40 μM Aβ40, 20 μM Aβ42) were mixed with Thioflavin T in 10 mM sodium phosphate, pH 7.4, and incubated with shaking at 37 °C. (A) Aβ40 with single D-amino acid substitutions. (B) Aβ42 with single D-amino acid substitutions. The peptides examined are shown in the boxes inside each panel. Note that semi-log plots are shown. (Figure S5 shows linear plots).