Figure 4

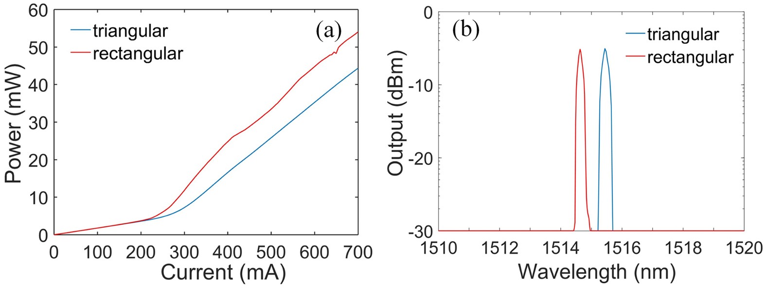
LI curves (a) and optical spectra (b) of the single triangular-lattice and rectangular-lattice PC Bragg lasers with the same parameters (the pump current is set to be 700 mA for the optical spectra).

LI curves (a) and optical spectra (b) of the single triangular-lattice and rectangular-lattice PC Bragg lasers with the same parameters (the pump current is set to be 700 mA for the optical spectra).