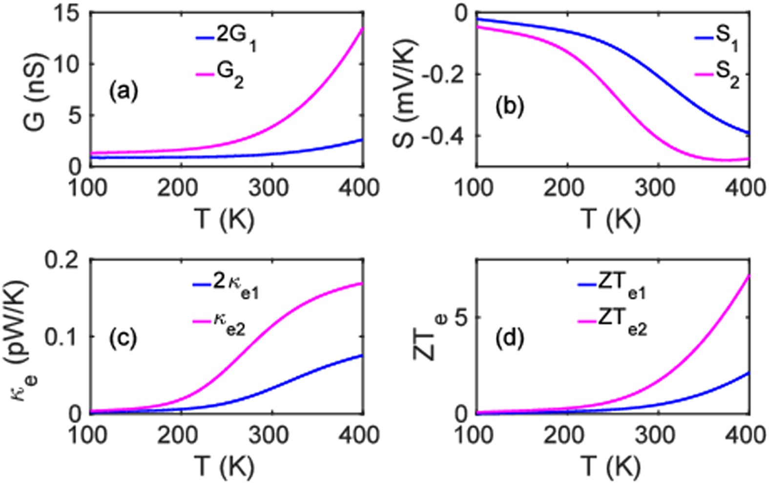
Figure 3
From: Thermoelectricity in vertical graphene-C60-graphene architectures

Temperature evolution of the thermoelectric coefficients: (a) Electrical conductance G(T); (b) Seebeck coefficients \(S(T)\) and (c), (d) electronic contribution to thermal conductance \({\kappa }_{e}(T)\) and figure of merit \(Z{T}_{e}(T)\). The pink and blue curves correspond to the dimer and twice the monomer devices, respectively.