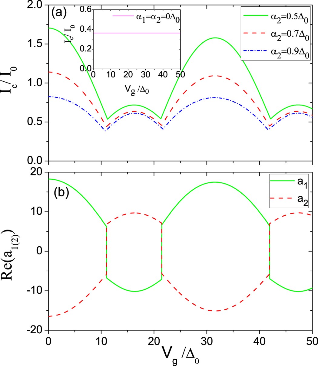
Figure 2
From: Supercurrent switch in π topological junctions based upon a narrow quantum spin Hall insulator

(a) The critical Josephson current I c as a function of gate voltage V g for different interedge coupling strengths α 2. The inset shows I c as a function of V g without interedge coupling. (b) Andreev reflection coefficients a 1 and a 2 as a function of V g , corresponding to the red dashed line in Fig. 2(a), coming from the contribution of all channels. Here, α 1 = 0.5α 2, d = 0.1ξ 0 with ξ 0 = ħυ F /Δ0 superconducting coherence length at zero temperature, and the various α 2 are indicated.