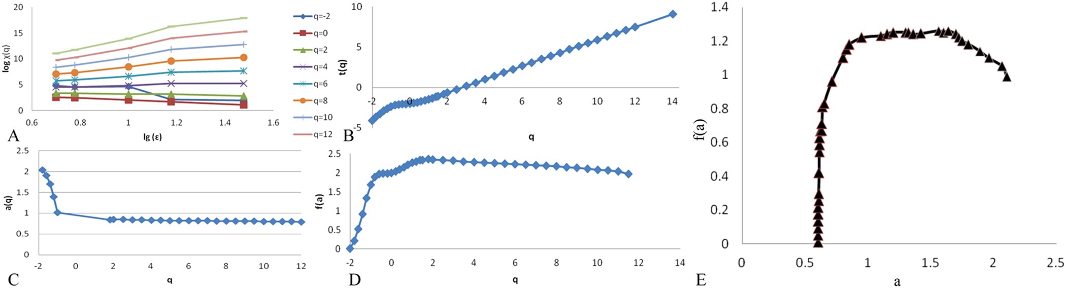
Figure 7

Results of the multifractal analysis: (A) log-log plots of \({\chi }_{q}(\varepsilon )\) versus \(\varepsilon \); (B) estimates of \(\tau (q)\), including the slopes of the straight lines in A; (C) singularity \(\alpha (q)\) estimated from (B) using the central differentiation method; (D) multifractal spectrum \(f(\alpha )\) estimated from \(\tau (q)\), \(\alpha (q)\), and q; and (E) plots of the multifractal spectrum \(f(\alpha )\) versus \(\alpha \).