Figure 5
From: First-principles calculations on Fe-Pt nanoclusters of various morphologies

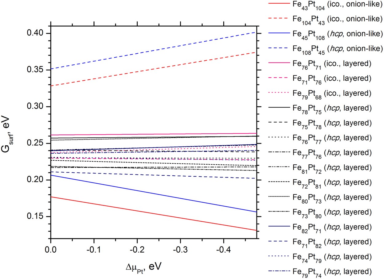
Thermodynamic stability diagram as a function of Pt chemical potential built for all FePt NPs under study. Diagram takes into account precipitation conditions for both Fe and Pt metals.