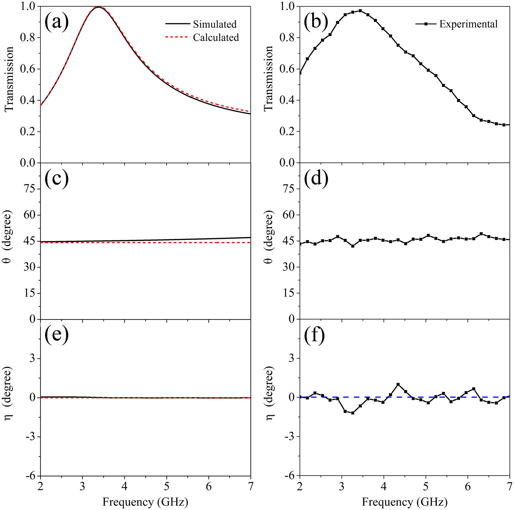
Figure 2

The simulated, calculated, and experimental results of the single-layer CMM at normal incidence. (a,b) Transmission spectra \((T=\sqrt{{T}_{xx}^{2}+{T}_{yx}^{2}})\), (c,d) Polarization azimuth rotation angle θ, (e,f) Ellipticity η. In the calculation, the quantitative fitting parameters \({\varepsilon }_{f}\) and \({\mu }_{f}\) are chosen as 21.3 and 0.95, respectively.