Figure 4

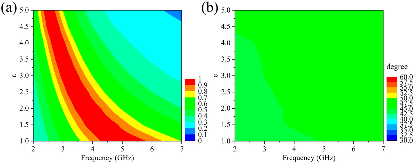
The simulated (a) transmission spectra and (b) polarization azimuth rotation angle of the single-layer CMM with different dielectric constants of the substrates. The dielectric constant of the substrate is tuned by a step of 0.5.

The simulated (a) transmission spectra and (b) polarization azimuth rotation angle of the single-layer CMM with different dielectric constants of the substrates. The dielectric constant of the substrate is tuned by a step of 0.5.