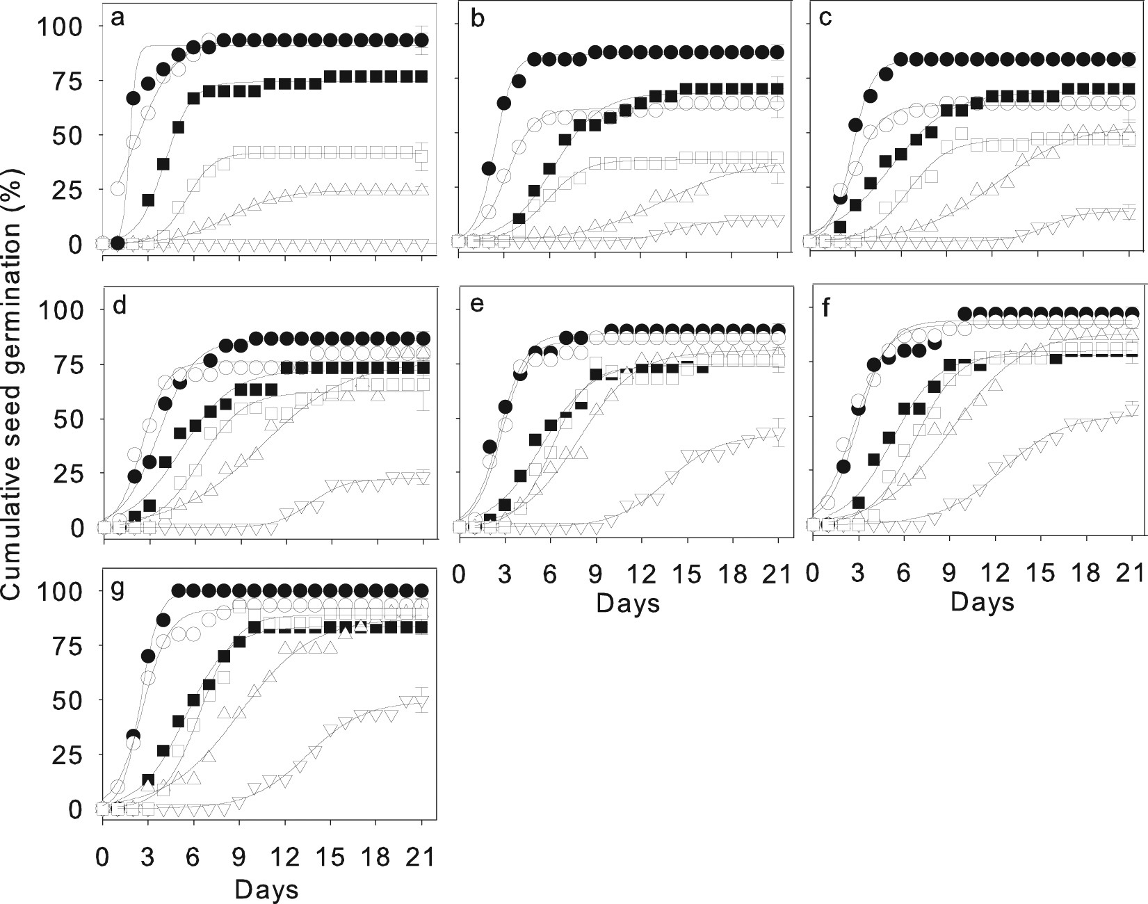
Figure 4

Cumulative seed germination of six Caragana species under gibberellic acid treatments. Seeds of species from arid (C. korshinskii, ●), semiarid (C. intermedia, ⚬, and C. microphylla, ■), semihumid (Caragana arborescens, □, and C. boisi, △), and humid (C. stipitata, ▽) habitats incubated with gibberellic acid (GA3) concentrations of 0 μg g−1 (a), 100 μg g−1 (b), 250 μg g−1 (c), 500 μg g−1 (d), 1000 μg g−1 (e), 1500 μg g−1 (f), 2500 μg g−1 (g) at 20/10 °C. The seed coat of C. boisi and C. stipitata was cracked. Data are means ± one SE of the mean of the final germination percentage when larger than the symbol (n = 5); the lines are the fitted logistic curve (see Methods).