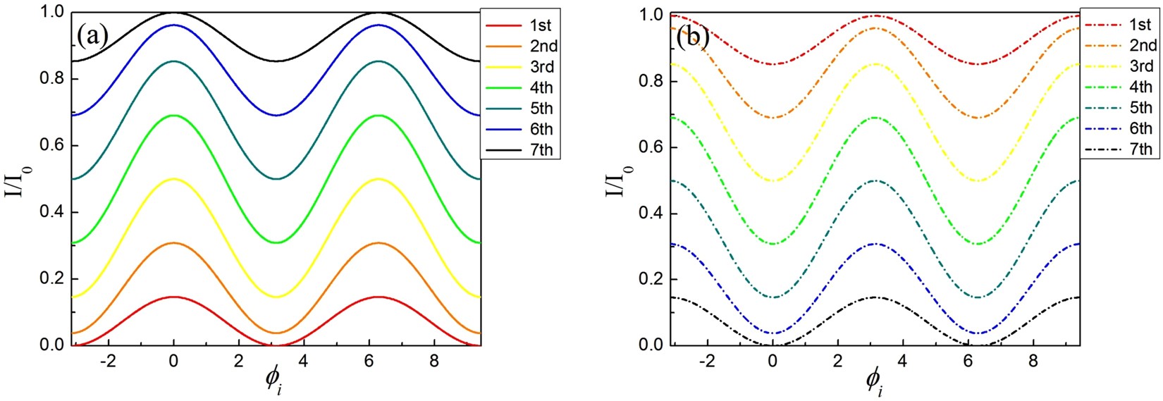
Figure 5

The theoretical interference fringes of the outputs of each small group of MZIs for logic 0. The seven curves (a) from bottom to top and (b) from top to bottom are the theoretical constructive and destructive interferences for the outputs of the seven MZIs in one small MZIs group.