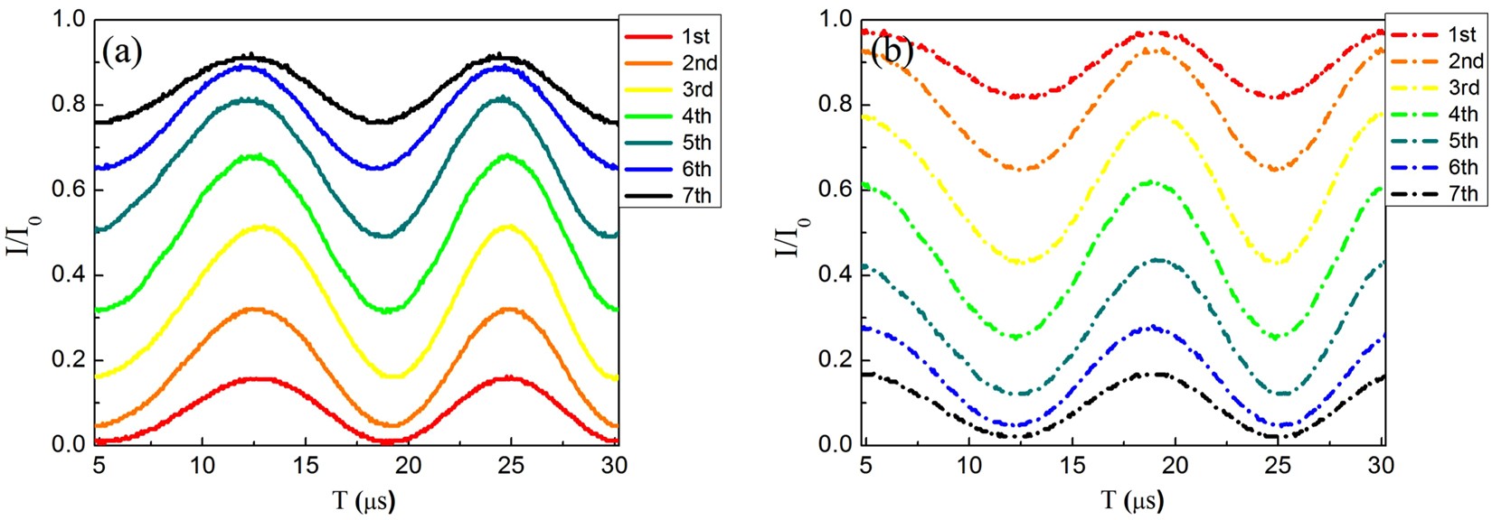
Figure 6

The experimental interference fringes of the outputs of each small group of MZIs for logic 0. The experimental (a) constructive (solid lines) and (b) destructive (dashed lines) interference at the output ports of each small MZI in the first MZIs group, and detected by D3 is 91.7%.