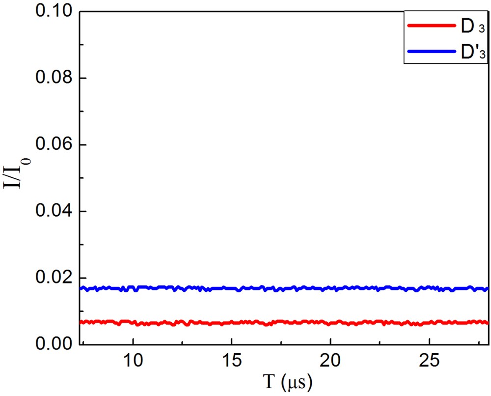
Figure 8

The detected normalized intensity of the detectors D3 and \({{\rm{D}}}_{3}^{^{\prime} }\) for logic 1. The stable intensities at D3 (red line) and \({{\rm{D}}}_{3}^{^{\prime} }\) (blue line) for logic 1. giving the result I(D3)/I 0 = 0.7% and I(\({{\rm{D}}}_{3}^{^{\prime} }\))/I 0 = 1.7%.