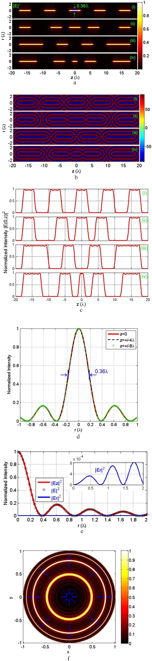
Figure 2

Generation of a multi-segmented optical needle with prescribed length and spacing. (a) Total intensities \(|E{|}^{2}\) in the r-z plane; (b) corresponding phase distributions of the \({E}_{z}\) component. (c) Axial intensities \(|E(0,z){|}^{2}\) for multi-segmented light needles with (i) identical lengths and intervals: \({{\rm{z}}}_{1}=0\), \({{\rm{z}}}_{2}=2\lambda \), \({{\rm{z}}}_{3}=6\lambda \), \({{\rm{z}}}_{4}=10\lambda \), \({{\rm{z}}}_{5}=14\lambda \), \({{\rm{z}}}_{6}=18\lambda \); (ii) identical lengths and different intervals: \({{\rm{z}}}_{1}=0\), \({{\rm{z}}}_{2}=2\lambda \), \({{\rm{z}}}_{3}=4\lambda \), \({{\rm{z}}}_{4}=8\lambda \), \({{\rm{z}}}_{5}=14\lambda \), \({{\rm{z}}}_{6}=18\lambda \); (iii) different lengths and identical intervals: \({{\rm{z}}}_{1}=2\lambda \), \({{\rm{z}}}_{2}=6\lambda \), \({{\rm{z}}}_{3}=10\lambda \), \({{\rm{z}}}_{4}=18\lambda \); and (iv) different lengths and intervals: \({{\rm{z}}}_{1}=0\), \({{\rm{z}}}_{2}=2\lambda \), \({{\rm{z}}}_{3}=3\lambda \), \({{\rm{z}}}_{4}=7\lambda \), \({{\rm{z}}}_{5}=12\lambda \), \({{\rm{z}}}_{6}=18\lambda \). The transverse intensity along the \({\rm{z}}=0,\pm 4\lambda ,\pm {\rm{8}}\lambda \), polarization structure at the \({\rm{z}}=\pm \lambda \) plane, required input field distribution at the normalized pupil plane to create a multi-segmented light needle, as shown in Fig. 2a(i), are plotted in (d), (e) and (f), respectively.