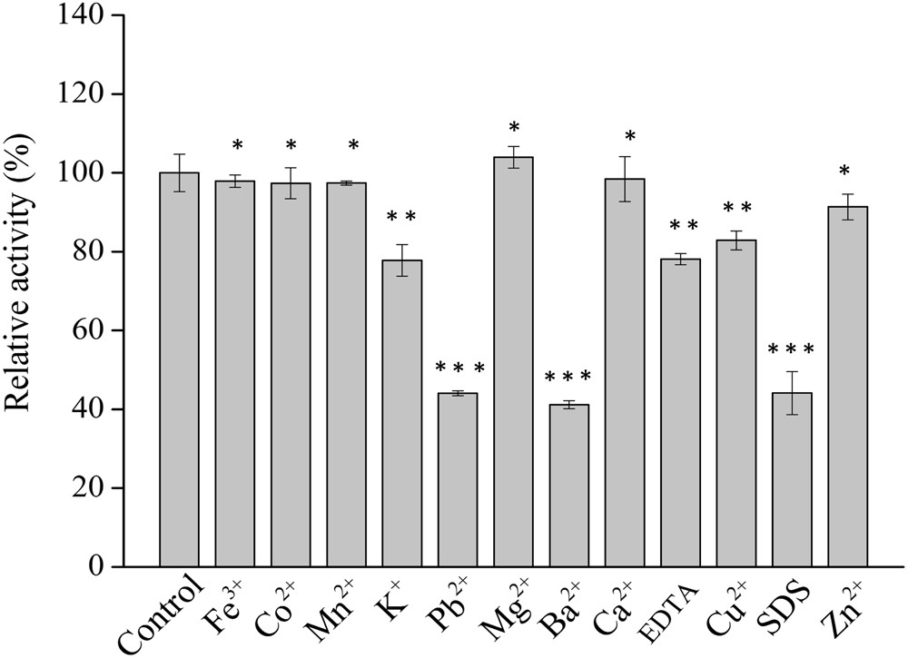
Figure 5

Effect of different metal ions and chemical reagents at 5 mM consistency on the purified Xyl43 activity. All reactions were incubated at optimal pH (7.0) and temperature (50 °C) for 30 min using 1 mg/ml of pNPX as substrate. Control experiments were done in the absence of metal ions and chemical reagents under the same reaction conditions. The data marked with ** and *** showed there were significant difference (p < 0.05) and specially significant difference (p < 0.001) respectively, and an asterisk * means that the difference was not significant (p > 0.05).