Figure 3
From: A brain-targeting lipidated peptide for neutralizing RNA-mediated toxicity in Polyglutamine Diseases

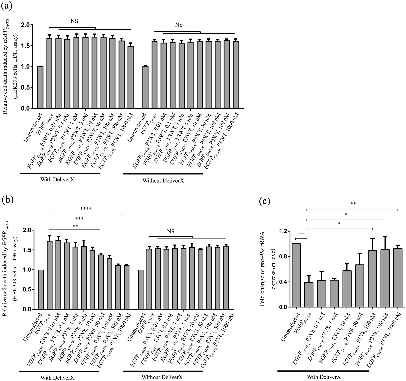
P3V8 effectively inhibits cytotoxicity induced by expanded CAG RNA in vitro. (a) Dose-dependent effect of synthetic P3WT in the absence or presence of DeliverX on the inhibition of cell death in EGFP CAG78 RNA-expressing HEK293 cells. (b) Dose-dependent effect of synthetic P3V8 in the absence or presence of DeliverX on the inhibition of cell death in EGFP CAG78 RNA-expressing HEK293 cells. Left of the charts: various amount of P3WT (a) or P3V8 (b) were transfected into individual culture wells by DeliverX 4 hr after plasmid transfection. Right of the charts: P3WT (a) or P3V8 (b) was added into individual culture wells immediately after plasmid transfection. A lactate dehydrogenase (LDH) cytotoxicity assay was performed. (c) Treatment of P3V8 (with DeliverX) restored pre-45s rRNA levels in EGFP CAG78 RNA-expressing HEK293 cells. Cells were transfected with various amount of P3V8 using DeliverX. Data are presented as fold change of the relative pre-45s rRNA expression levels compared with the untransfected samples. Experiments were repeated at least 3 times and data are expressed as mean ± S.E.M. NS indicates no significance. *Indicates P < 0.05, **indicates P < 0.01, ***indicates P < 0.001 and ****indicates P < 0.0001.