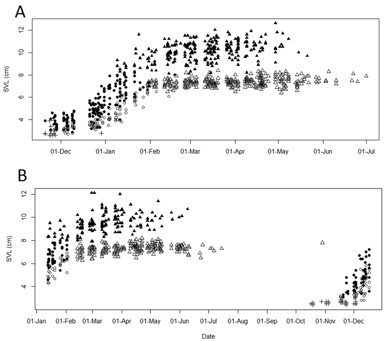
Figure 1
From: Highly variable lifespan in an annual reptile, Labord’s chameleon (Furcifer labordi)

Growth curves of F. labordi in Kirindy Forest. Depicted is SVL against date: unsexed hatchlings (+); males (filled symbols); females (open symbols), juveniles (circles), and adults (triangles). (A) Data of field season from November 19, 2013–July 9, 2014 (n = 881), (B) Data of field seasons from January 11 – July 2015 (n = 439), and October 12 – December 17, 2015 (n = 142).